Math 210 Calculus Worksheets Answer Key – A great collection of free calculus worksheets with answer keys for teachers and students. B | table of derivatives; Our series of calculus worksheets. Our calculus worksheets are free to.
These calculus worksheets consist of integration, differential equation, differentiation, and applications worksheets for your use. High quality, downloadable, and printable. Quiz 1 answer key. The introduction of each worksheet briefly motivates the main ideas.
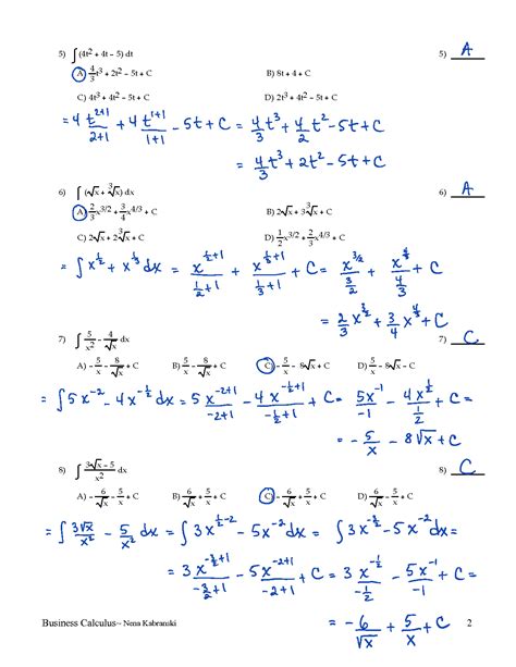
Math 210 Calculus Worksheets Answer Key
Math 210 Calculus Worksheets Answer Key
F(4) = —8 and f (—3) = 12 5. This booklet contains the worksheets for math 1b, u.c. A | table of integrals;
Write the equation of the line meets the following conditions. Buy online purchase orders renewals. Quiz 8 answer key section 0005.
Slope 3 and (4, —2) 2 and f (—5) = 7 use the ra 4. Berkeley’s second semester calculus course. Free printable worksheets (pdf) with answer keys on algebra i, geometry, trigonometry, algebra ii, and calculus.

Ap Calculus Limits Worksheet With Answers worksheet

Precalc Worksheets

Self Quiz 16 with Answer Key for Calculus III MATH 210 Docsity

Solutions for Second Exam Calculus III MATH 210 Docsity

Calculus Practice Worksheet

Printable Calculus Worksheets Free Calculus Worksheets Calculus
50+ integral calculus worksheets for 9th Class on Quizizz Free
![]()
MAT 210 Calculus I chapter 2 practice exam solutions MATH 210

SOLUTION Practice Test 4 Business Calculus Solutions Worksheet
![]()
MAT 210 Calculus I chapter 3 practice exam solutions MATH 210
